이항분포 하면 가장 대표적인 예시가 동전 던지기입니다. 동전을 10번 던졌을 때, 앞면이 6번 나올 확률이 얼마인가? 와 같은 질문을 대답할 때, 이항분포를 사용합니다. 동전 앞면이 나왔을 때를 성공(1), 뒷면을 실패(0)라고 가정하기 때문에, 이항 분포는 우리가 지금까지 보아왔던 정규분포, 카이제곱 분포 등과 같은 연속 분포와 달리 이산 분포로 분류됩니다.
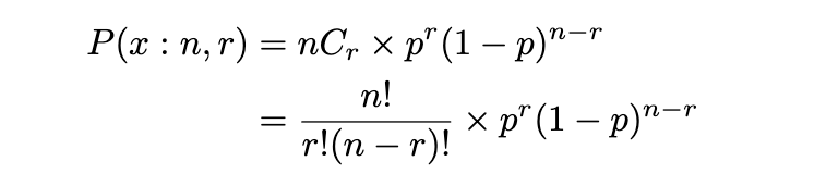
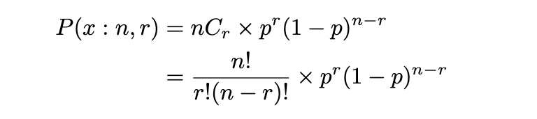
이항 분포의 기본 가정은 각 시도에 대해 하나의 결과(1 아니면 0)만 있고, 각 시도는 동일한 성공 확률을 가지며, 독립적이라는 것입니다. 식으로 나타내어보면 다음과 같습니다.

n: 시행 횟수
r: 성공횟수
p: 성공할 확률
동전의 앞면과 뒷면이 나올 확률은 각각 0.5로, 매번 던질 때마다 이전 결과가 다음 결과에 영향을 미치지 않으므로 독립적 시행입니다. 확률을 계산해 보면, (10! / (6! × (10 - 6)!)) × (0.50)^(6) × (1 - 0.50) ^ (10 - 6)으로 10번의 동전 던지기에서 정확히 6번의 앞면이 나올 확률은 0.2050781 즉 20.5%입니다. 10번을 던졌을 때, 앞면이 0부터 6까지 나올 각 확률은 아래와 같습니다.
| #H | 0 | 1 | 2 | 3 | 4 | 5 | 6 |
| Pr(X) | 0.00098 | 0.00977 | 0.04395 | 0.11719 | 0.20508 | 0.24093 | 0.20508 |
아래는 10번을 던졌을 때, 앞면이 나올 확률 0부터 10까지의 분포를 나타냅니다. 이 플랏에서 Number of Heads가 6일 때 대략 0.20의 확률이라는 것을 확인할 수 있습니다.

아래는 R에서 매뉴얼로 계산한 값과, 함수를 이용한 결과값 입니다.

혹시 베르누이(Bernoulli) 분포라고 들어보셨나요? 이항분포와 베르누이 분포의 개념은 같다고 할 수 있는데, 다른 점이라면 베르누이는 사건의 단일 시행 결과를 다루는 반면, 이항분포는 단일 사건의 여러 시행 결과를 설명합니다. 즉, 우리의 동전 던지기 예에서 10번을 던진다고 하였는데, 딱 한번 던진 이항분포를 베르누이 분포라고 합니다.
이항분포의 기댓값과 분산
총 시행 횟수가 n, 성공할 확률이 p 인 이항분포의(X ~ B(n, p)) 기댓값과 분산은 다음과 같습니다.
E[X] = np
Var[X] = npq = np(1-p)
확률 p가 0.5이면 분포가 평균을 중심으로 대칭이고, 0.5보다 크면 분포가 왼쪽(Negative, Left-skewed), 0.5보다 작으면 오른쪽(Positive, Right-skewed)으로 치우칩니다.



'Stats101' 카테고리의 다른 글
| 중심 극한 정리(Central Limit Theorem) feat. 주사위 굴리기 (0) | 2023.05.05 |
|---|---|
| 균일분포(Uniform Distribution) (0) | 2023.05.03 |
| 자유도(Degrees of freedom) (0) | 2023.05.01 |
| 카이제곱 분포(Chi-square distribution) (0) | 2023.04.30 |
| 카이제곱 독립성 검정 - Test of Independence (0) | 2023.04.29 |
댓글