균일 분포는 모든 결과가 발생할 가능성이 동일한 확률 분포입니다. 균일분포는 데이터 특성에 따라 이산형(Discrete)과 연속성(Continuous) 분포로 나뉠 수 있습니다.
이산형 균일 분포(Discrete Uniform Distribution)
발생할 가능성이 동일한 이산형 균일 분포의 대표적인 예로는, 동전을 던졌을 때 앞/뒤가 나오는 경우, 혹은 주사위를 던졌을 때 일정 숫자가 나오는 경우입니다.
공정한 동전의 경우, 앞 또는 뒤가 나올 확률(1/2)이 동일하고, 공정한 6면체 주사위의 경우 1, 2, 3, 4, 5 또는 6이 나올 확률(1/6)이 동일합니다. 또한 두 경우 모두 각각의 결과(동전 던지기 - 앞, 뒤, 주사위 던지기- 1,2,3,4,5,6)가 있어 이산형 결과를 나타냅니다.
이산 확률 변수 f(x) = 1/n과 같다고 할 수 있는데요 (앞, 뒤 2개일 때 1/2, 주사위 면 역시 1/6) 이를 그래프로 나타내어 보면 다음과 같습니다. 이 경우, 각 숫자가 나올 확률은 1/6(16.7%)이 됩니다.

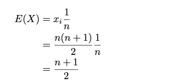
이산형 균일 분포의 평균

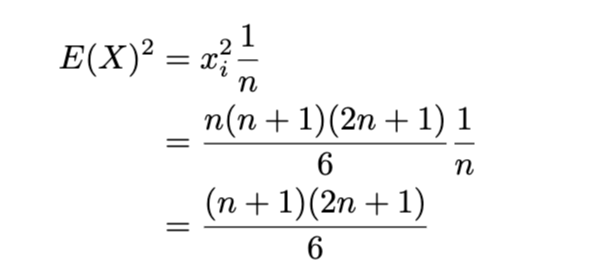
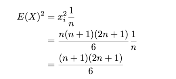
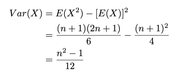
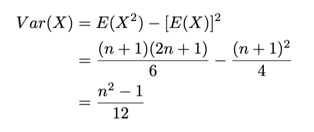
이산형 균일 분포의 분산


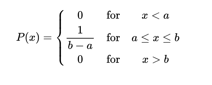
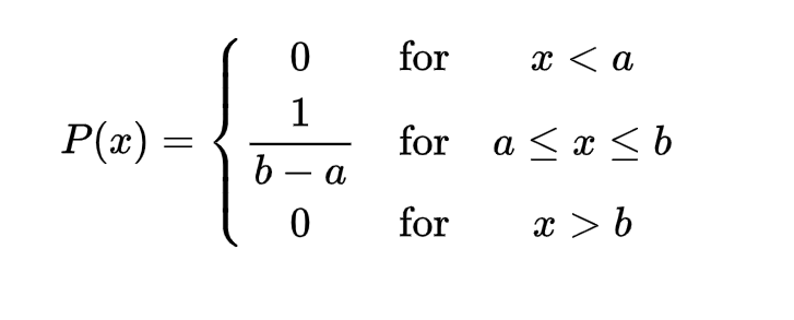
연속형 균일 분포(Continuous Uniform Distribution)
연속 균일 분포는 변수의 결과가 간격 [a, b] 내에서 발생할 확률이 동일한, 일종의 대칭 확률 분포입니다.


연속형 균일 분포의 평균과 분산
평균은 균일 분포의 간격 a와 b의 중간값을 구하는 개념이고, 분산은 E(X^2)-[E(X)]^2을 사용하여 구하면 다음과 같습니다.
E(X) = (a+b)/2
Var(X) = (b-a)^2/12
예를들어, 20분마다 오는 버스가 있다고 가정해볼게요. 버스를 타러 갔는데, 5분 이내에 버스가 올 확률은 얼마나 될까요?
그래프로 그려보면 아래와 같습니다. 5분 이내에 올 확률을 구하는 것이므로 5*(1/20) = 0.25 즉, 25% 확률로 버스가 5분 내에 도착한다고 할 수 있습니다.

R에서 punif 함수를 이용하면 다음과 같습니다.

'Stats101' 카테고리의 다른 글
| 베이지안 이론(Bayes' theorem ) (2) | 2023.05.21 |
|---|---|
| 중심 극한 정리(Central Limit Theorem) feat. 주사위 굴리기 (0) | 2023.05.05 |
| 이항분포(Binomial Distribution) (0) | 2023.05.02 |
| 자유도(Degrees of freedom) (0) | 2023.05.01 |
| 카이제곱 분포(Chi-square distribution) (0) | 2023.04.30 |
댓글